Last updated: 2025-11-27

Checks: 7 0

Knit directory: 5_gd_Tcell/1_analysis/

This reproducible R Markdown analysis was created with workflowr (version 1.7.2). The Checks tab describes the reproducibility checks that were applied when the results were created. The Past versions tab lists the development history.


Great! Since the R Markdown file has been committed to the Git repository, you know the exact version of the code that produced these results.

Great job! The global environment was empty. Objects defined in the global environment can affect the analysis in your R Markdown file in unknown ways. For reproduciblity it’s best to always run the code in an empty environment.

The command set.seed(12345) was run prior to running the code in the R Markdown file. Setting a seed ensures that any results that rely on randomness, e.g. subsampling or permutations, are reproducible.

Great job! Recording the operating system, R version, and package versions is critical for reproducibility.

Nice! There were no cached chunks for this analysis, so you can be confident that you successfully produced the results during this run.

Great job! Using relative paths to the files within your workflowr project makes it easier to run your code on other machines.

Great! You are using Git for version control. Tracking code development and connecting the code version to the results is critical for reproducibility.

The results in this page were generated with repository version b9f184a. See the Past versions tab to see a history of the changes made to the R Markdown and HTML files.

Note that you need to be careful to ensure that all relevant files for the analysis have been committed to Git prior to generating the results (you can use wflow_publish or wflow_git_commit). workflowr only checks the R Markdown file, but you know if there are other scripts or data files that it depends on. Below is the status of the Git repository when the results were generated:


Ignored files:
    Ignored:    .Rhistory
    Ignored:    .Rproj.user/

Untracked files:
    Untracked:  .DS_Store
    Untracked:  figure/scatter2-1.png
    Untracked:  figure/scatter3-1.png
    Untracked:  figure/scatter4-1.png
    Untracked:  figure/scatter5-1.png
    Untracked:  figure/scatter_3d4-1.png
    Untracked:  figure/scatter_interactive4-1.png
    Untracked:  figure/treemap2-1.png
    Untracked:  figure/treemap3-1.png
    Untracked:  figure/treemap4-1.png
    Untracked:  figure/treemap5-1.png

Unstaged changes:
    Modified:   0_data/RDS_plots/go_combined_dotPlot.rds
    Modified:   0_data/RDS_plots/go_combined_parTerm_dotPlot.rds
    Modified:   0_data/RDS_plots/go_dotPlot.rds
    Modified:   0_data/RDS_plots/go_parTerm_dotPlot.rds
    Modified:   0_data/RDS_plots/go_parTerm_scatter.rds
    Modified:   0_data/RDS_plots/kegg_dotPlot.rds
    Modified:   0_data/RDS_plots/kegg_path_Hmap.rds
    Modified:   0_data/RDS_plots/ma_plots.rds
    Modified:   0_data/RDS_plots/react_combined_dotPlot.rds
    Modified:   0_data/RDS_plots/react_dotPlot.rds
    Modified:   0_data/RDS_plots/vol_plots.rds
    Modified:   2_plots/1_QC/PC1_PC2.svg
    Modified:   2_plots/1_QC/PC1_PC3.svg
    Modified:   2_plots/1_QC/PC2_PC3.svg
    Modified:   2_plots/2_DE/heat_down_INT vs CONT.svg
    Modified:   2_plots/2_DE/heat_down_INT vs SVX_VAS.svg
    Modified:   2_plots/2_DE/heat_down_INT vs VAS.svg
    Modified:   2_plots/2_DE/heat_down_SVX vs SVX_VAS.svg
    Modified:   2_plots/2_DE/heat_down_SVX_VAS vs CONT.svg
    Modified:   2_plots/2_DE/heat_down_VAS vs SVX_VAS.svg
    Modified:   2_plots/2_DE/heat_up_INT vs CONT.svg
    Modified:   2_plots/2_DE/heat_up_INT vs SVX_VAS.svg
    Modified:   2_plots/2_DE/heat_up_INT vs VAS.svg
    Modified:   2_plots/2_DE/heat_up_SVX vs SVX_VAS.svg
    Modified:   2_plots/2_DE/heat_up_SVX_VAS vs CONT.svg
    Modified:   2_plots/2_DE/heat_up_VAS vs SVX_VAS.svg
    Modified:   2_plots/2_DE/hist_INT vs CONT.svg
    Modified:   2_plots/2_DE/hist_INT vs SVX_VAS.svg
    Modified:   2_plots/2_DE/hist_INT vs VAS.svg
    Modified:   2_plots/2_DE/hist_SVX vs SVX_VAS.svg
    Modified:   2_plots/2_DE/hist_SVX_VAS vs CONT.svg
    Modified:   2_plots/2_DE/hist_VAS vs SVX_VAS.svg
    Modified:   2_plots/3_FA/go/combine_go_dot.svg
    Modified:   2_plots/3_FA/go/parTerm_dot_INT vs CONT.svg
    Modified:   2_plots/3_FA/go/parTerm_dot_INT vs SVX_VAS.svg
    Modified:   2_plots/3_FA/go/parTerm_dot_SVX vs SVX_VAS.svg
    Modified:   2_plots/3_FA/go/parTerm_dot_SVX_VAS vs CONT.svg
    Modified:   2_plots/3_FA/go/parTerm_dot_VAS vs SVX_VAS.svg
    Modified:   2_plots/3_FA/go/semSim_dendrogram_INT vs CONT.svg
    Modified:   2_plots/3_FA/go/semSim_dendrogram_INT vs SVX_VAS.svg
    Modified:   2_plots/3_FA/go/semSim_dendrogram_SVX vs SVX_VAS.svg
    Modified:   2_plots/3_FA/go/semSim_dendrogram_SVX_VAS vs CONT.svg
    Modified:   2_plots/3_FA/go/semSim_dendrogram_VAS vs SVX_VAS.svg
    Modified:   2_plots/3_FA/go/semSim_scatter_INT vs CONT.svg
    Modified:   2_plots/3_FA/go/semSim_scatter_INT vs SVX_VAS.svg
    Modified:   2_plots/3_FA/go/semSim_scatter_SVX vs SVX_VAS.svg
    Modified:   2_plots/3_FA/go/semSim_scatter_SVX_VAS vs CONT.svg
    Modified:   2_plots/3_FA/kegg/combine_kegg_dot.svg
    Modified:   2_plots/3_FA/kegg/heat_Neutrophil extracellular trap formation.svg
    Modified:   2_plots/3_FA/kegg/heat_PD-L1 expression and PD-1 checkpoint pathway in cancer.svg
    Modified:   2_plots/3_FA/kegg/heat_T cell receptor signaling pathway.svg
    Modified:   2_plots/3_FA/kegg/heat_Th1 and Th2 cell differentiation.svg
    Modified:   2_plots/3_FA/kegg/heat_Th17 cell differentiation.svg
    Modified:   2_plots/3_FA/kegg/kegg_dot_INT vs CONT.svg
    Modified:   2_plots/3_FA/kegg/kegg_dot_INT vs SVX_VAS.svg
    Modified:   2_plots/3_FA/kegg/kegg_dot_SVX_VAS vs CONT.svg
    Modified:   2_plots/3_FA/kegg/kegg_dot_VAS vs SVX_VAS.svg
    Modified:   2_plots/3_FA/kegg/kegg_upset_INT vs CONT.svg
    Modified:   2_plots/3_FA/kegg/kegg_upset_INT vs SVX_VAS.svg
    Modified:   2_plots/3_FA/kegg/kegg_upset_SVX_VAS vs CONT.svg
    Modified:   2_plots/3_FA/kegg/kegg_upset_VAS vs SVX_VAS.svg
    Modified:   2_plots/3_FA/reactome/combine_react_dot.svg
    Modified:   2_plots/3_FA/reactome/react_dot_INT vs CONT.svg
    Modified:   2_plots/3_FA/reactome/react_dot_INT vs SVX_VAS.svg
    Modified:   2_plots/3_FA/reactome/react_dot_INT vs VAS.svg
    Modified:   2_plots/3_FA/reactome/react_dot_SVX vs SVX_VAS.svg
    Modified:   2_plots/3_FA/reactome/react_dot_SVX_VAS vs CONT.svg
    Modified:   2_plots/3_FA/reactome/react_dot_VAS vs SVX_VAS.svg
    Modified:   2_plots/3_FA/reactome/react_upset_INT vs CONT.svg
    Modified:   2_plots/3_FA/reactome/react_upset_INT vs SVX_VAS.svg
    Modified:   2_plots/3_FA/reactome/react_upset_INT vs VAS.svg
    Modified:   2_plots/3_FA/reactome/react_upset_SVX vs SVX_VAS.svg
    Modified:   2_plots/3_FA/reactome/react_upset_SVX_VAS vs CONT.svg
    Modified:   2_plots/3_FA/reactome/react_upset_VAS vs SVX_VAS.svg
    Modified:   2_plots/4_paper/subset_degs.svg
    Modified:   2_plots/combine_ipa_dot.svg
    Modified:   2_plots/dnf_plot.svg
    Modified:   2_plots/intVsvxVAS.svg
    Modified:   2_plots/upstream_hmap.svg
    Modified:   3_output/DEGs.xlsx
    Modified:   3_output/Gene Ontology.xlsx
    Modified:   3_output/KEGG.xlsx
    Modified:   3_output/Reactome.xlsx
    Modified:   3_output/deg_all_new.xlsx
    Modified:   3_output/deg_sig_new.xlsx
    Modified:   3_output/eigenvalues.xlsx
    Modified:   3_output/enrichKEGG_sig.xlsx
    Modified:   3_output/reactome_all_new.xlsx
    Modified:   3_output/reactome_sig_new.xlsx
    Modified:   3_output/semSim_GO_sig.xlsx
    Modified:   README.html
    Modified:   README.md
    Modified:   figure/dot2-1.png
    Modified:   figure/dot3-1.png
    Modified:   figure/dot4-1.png
    Modified:   figure/dot5-1.png
    Modified:   figure/upset2-1.png
    Modified:   figure/upset3-1.png
    Modified:   figure/upset4-1.png
    Modified:   figure/upset5-1.png

Note that any generated files, e.g. HTML, png, CSS, etc., are not included in this status report because it is ok for generated content to have uncommitted changes.


These are the previous versions of the repository in which changes were made to the R Markdown (1_analysis/reactome.Rmd) and HTML (docs/reactome.html) files. If you’ve configured a remote Git repository (see ?wflow_git_remote), click on the hyperlinks in the table below to view the files as they were in that past version.

File Version Author Date Message
html d519e7f Ha Tran 2024-12-03 Build site.
Rmd 9fc0156 Ha Tran 2024-12-03 workflowr::wflow_publish(here::here("1_analysis/*.Rmd"))
html 5dce909 Ha Tran 2024-11-07 Build site.
html d71eeb4 Ha Tran 2024-10-16 Build site.
Rmd 5f0c7a1 Ha Tran 2024-10-16 workflowr::wflow_publish(here::here("1_analysis/*.Rmd"))
html ae93fcc tranmanhha135 2024-02-02 Build site.
Rmd fbcdd69 tranmanhha135 2024-02-02 workflowr::wflow_publish(here::here("1_analysis/*.Rmd"))
html 2c24612 tranmanhha135 2022-10-13 build website
Rmd 324032b tranmanhha135 2022-10-11 resize images
html 11a5cf4 tranmanhha135 2022-10-03 build wedsite
Rmd 1101367 tranmanhha135 2022-10-02 Completed functional enrichment for all comparison
html 1101367 tranmanhha135 2022-10-02 Completed functional enrichment for all comparison
html 68585df tranmanhha135 2022-09-20 build webste
Rmd 192d010 tranmanhha135 2022-09-20 functional enrichment with new dataset
html 192d010 tranmanhha135 2022-09-20 functional enrichment with new dataset
Rmd 0df047f tranmanhha135 2022-09-08 minor changes to build and publish
html 0df047f tranmanhha135 2022-09-08 minor changes to build and publish
html 54e0166 Ha Manh Tran 2022-01-01 Build site.
html 32454d5 Ha Manh Tran 2022-01-01 Build site.
Rmd c667dd0 Ha Manh Tran 2022-01-01 workflowr::wflow_publish(files = here::here(c("1_analysis/index.Rmd",
Rmd 3b268fc Ha Tran 2021-12-09 multiple FC, reactome, big clean up.
html 3b268fc Ha Tran 2021-12-09 multiple FC, reactome, big clean up.
Rmd 7247e9c Ha Tran 2021-11-30 additional KEGG heatmap, pathview, reactome
html 7247e9c Ha Tran 2021-11-30 additional KEGG heatmap, pathview, reactome

# working with data
library(dplyr)
library(magrittr)
library(readr)
library(tibble)
library(reshape2)
library(tidyverse)
library(VennDiagram)
# Visualisation:
library(kableExtra)
library(ggplot2)
library(grid)
library(pander)
library(cowplot)
library(pheatmap)
library(DT)
library(extrafont)
# Custom ggplot
library(ggbiplot)
library(ggrepel)

# Bioconductor packages:
library(edgeR)
library(limma)
library(Glimma)
library(clusterProfiler)
library(org.Mm.eg.db)
library(enrichplot)
library(ReactomePA)
library(pandoc)
library(knitr)
opts_knit$set(progress = FALSE, verbose = FALSE)
opts_chunk$set(warning=FALSE, message=FALSE, echo=FALSE)

Reactome

Reactome database provides curated information about biological pathways, including molecular events and reactions within cells. It focuses on human biology and is widely used for pathway analysis and functional interpretation of high-throughput data.

KEGG and Reactome both include approximately the same number of genes. The difference lies in KEGG’s use of broader terms, while Reactome employs similar terms but with multiple detailed entries.

In the Reactome database, terms are organized hierarchically based on the classification of biological pathways. The organization follows a tree-like structure, where terms represent different levels of granularity in understanding molecular events and reactions within cells

Visualisation

The following visualisations are Reactome enrichment analysis performed with set of DE genes. IMPORTANTLY, these Reactome terms are significantly enriched with P value < 0.05.

  • Dot plot: illustrates the top enriched Reactome pathways

    • \(Gene ratio =\) the number of significant DE gene in the term / the total of number of genes in the term as indicated by the size
  • Table: list of all the significant Reactome pathways

    • NOTE: To keep this a readable table, the full pathway description were removed, check the exported Excel spreadsheet for full details on pathways class, descriptions, related pathways, and references
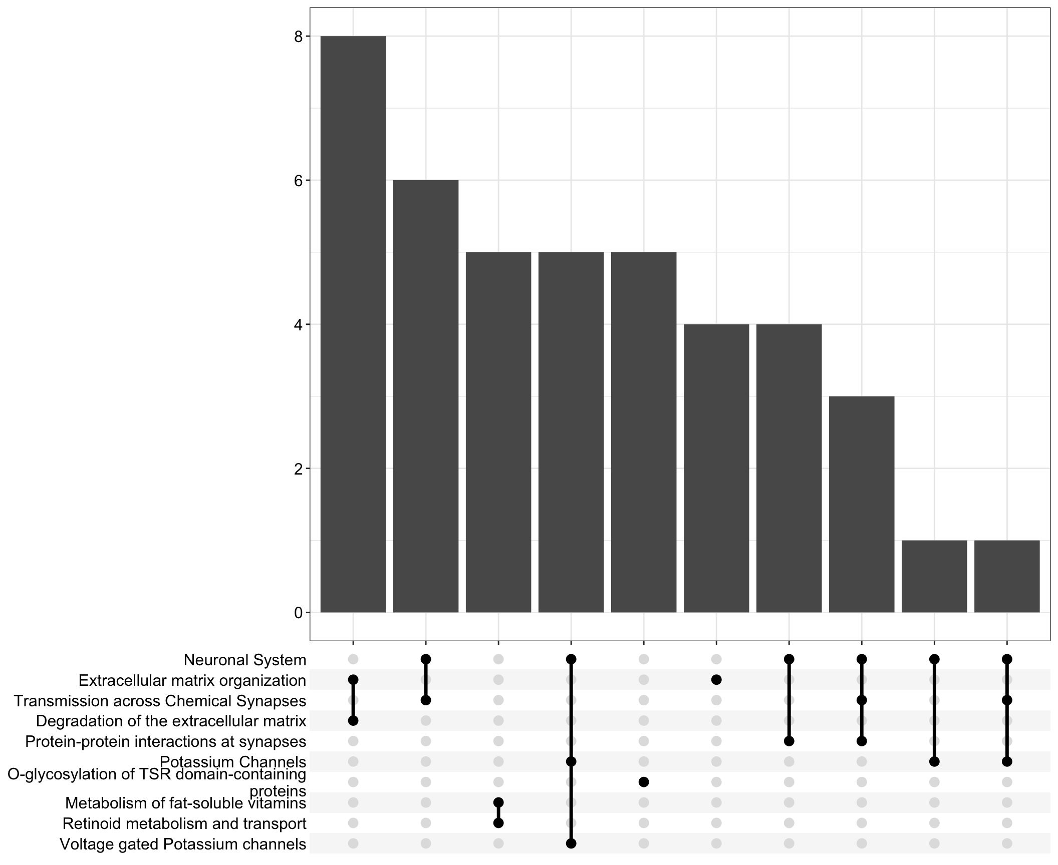
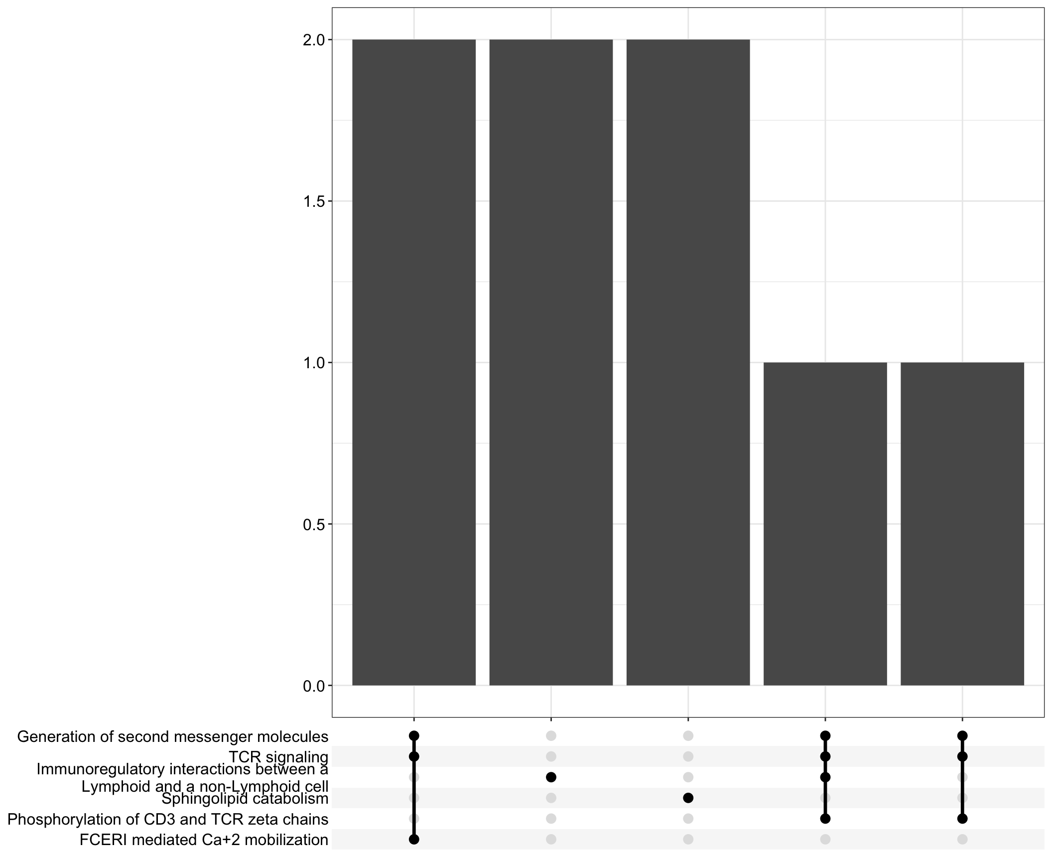
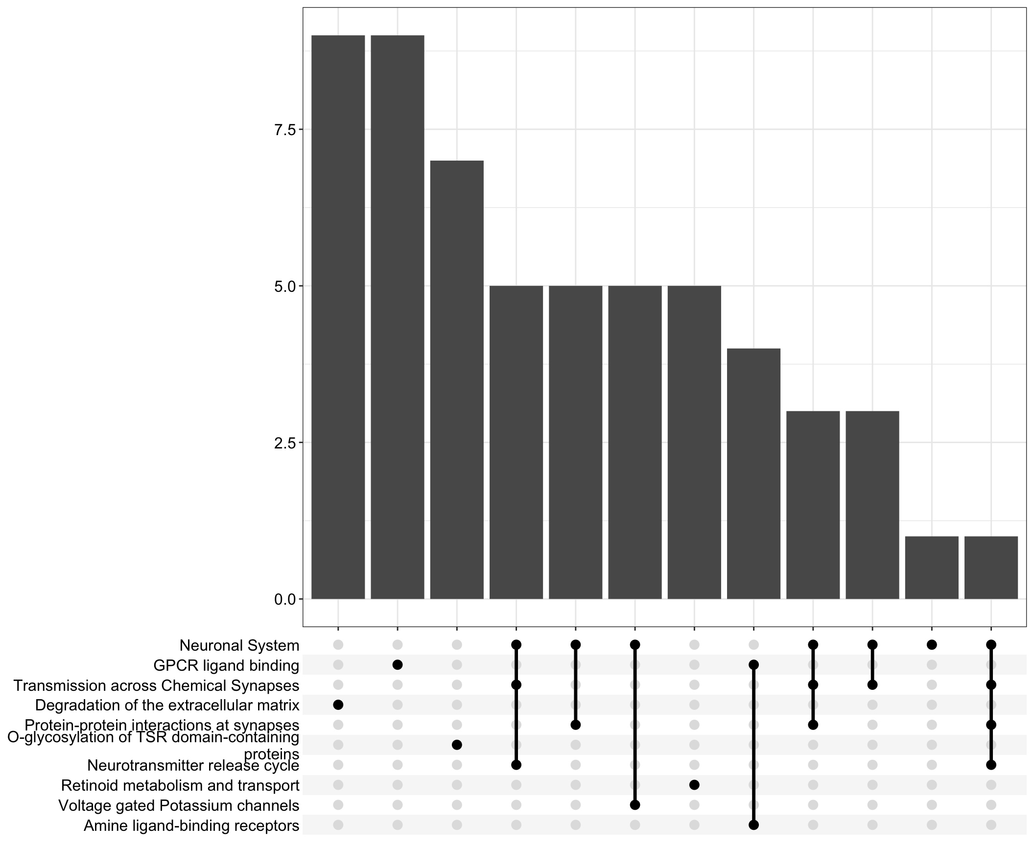
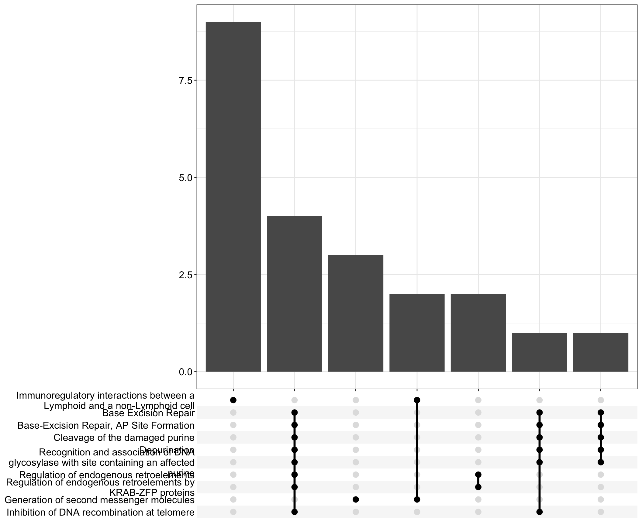
  • Upset: illustrate the overlap of gene between different pathways

I recommend reading through the full list of significant Reactome pathways and selecting the most biologically relevant for better visualisation

The following visualisations are Reactome enrichment analysis performed with set of DE genes. IMPORTANTLY, significant Reactome pathways are significantly if P value < 0.05

  • Dot plot: illustrates the enriched Reactome pathways

    • \(Gene ratio =\) the number of significant DE gene in the term / the total of number of genes in the term as indicated by the size
  • Table: list of all the significant Reactome pathways

  • Upset: illustrate the overlap of gene between different pathways

I recommend reading through the full list of significant Reactome pathways and selecting the most biologically relevant for more in-depth visualisation

INT vs CONT

Dot plot

Version Author Date
d519e7f Ha Tran 2024-12-03

Table

Upset plot

Version Author Date
d519e7f Ha Tran 2024-12-03

INT vs SVX_VAS

Dot plot

Version Author Date
d519e7f Ha Tran 2024-12-03

Table

Upset plot

Version Author Date
d519e7f Ha Tran 2024-12-03

SVX vs SVX_VAS

Dot plot

Version Author Date
d519e7f Ha Tran 2024-12-03

Table

Upset plot

Version Author Date
d519e7f Ha Tran 2024-12-03

VAS vs SVX_VAS

Dot plot

Version Author Date
d519e7f Ha Tran 2024-12-03

Table

Upset plot

Version Author Date
d519e7f Ha Tran 2024-12-03

SVX_VAS vs CONT

Dot plot

Version Author Date
d519e7f Ha Tran 2024-12-03

Table

Upset plot

Version Author Date
d519e7f Ha Tran 2024-12-03

INT vs VAS

Dot plot

Version Author Date
d519e7f Ha Tran 2024-12-03

Table

Upset plot

Version Author Date
d519e7f Ha Tran 2024-12-03

Combined

Venn diagram

Dot plot

Version Author Date
d519e7f Ha Tran 2024-12-03

Export Data


R version 4.4.1 (2024-06-14)
Platform: aarch64-apple-darwin20
Running under: macOS 26.1

Matrix products: default
BLAS:   /Library/Frameworks/R.framework/Versions/4.4-arm64/Resources/lib/libRblas.0.dylib 
LAPACK: /Library/Frameworks/R.framework/Versions/4.4-arm64/Resources/lib/libRlapack.dylib;  LAPACK version 3.12.0

locale:
[1] en_US.UTF-8/en_US.UTF-8/en_US.UTF-8/C/en_US.UTF-8/en_US.UTF-8

time zone: Australia/Adelaide
tzcode source: internal

attached base packages:
[1] stats4    grid      stats     graphics  grDevices utils     datasets 
[8] methods   base     

other attached packages:
 [1] knitr_1.50             pandoc_0.2.0           ReactomePA_1.50.0     
 [4] enrichplot_1.26.6      org.Mm.eg.db_3.20.0    AnnotationDbi_1.68.0  
 [7] IRanges_2.40.1         S4Vectors_0.44.0       Biobase_2.66.0        
[10] BiocGenerics_0.52.0    clusterProfiler_4.14.6 Glimma_2.16.0         
[13] edgeR_4.4.2            limma_3.62.2           ggrepel_0.9.6         
[16] ggbiplot_0.6.2         extrafont_0.19         DT_0.34.0             
[19] pheatmap_1.0.13        cowplot_1.2.0          pander_0.6.6          
[22] kableExtra_1.4.0       VennDiagram_1.7.3      futile.logger_1.4.3   
[25] lubridate_1.9.4        forcats_1.0.0          stringr_1.5.2         
[28] purrr_1.1.0            tidyr_1.3.1            ggplot2_4.0.0         
[31] tidyverse_2.0.0        reshape2_1.4.4         tibble_3.3.0          
[34] readr_2.1.5            magrittr_2.0.4         dplyr_1.1.4           

loaded via a namespace (and not attached):
  [1] splines_4.4.1               later_1.4.4                
  [3] ggplotify_0.1.3             R.oo_1.27.1                
  [5] polyclip_1.10-7             graph_1.84.1               
  [7] lifecycle_1.0.4             rprojroot_2.1.1            
  [9] lattice_0.22-7              MASS_7.3-65                
 [11] crosstalk_1.2.2             sass_0.4.10                
 [13] rmarkdown_2.29              jquerylib_0.1.4            
 [15] yaml_2.3.10                 httpuv_1.6.16              
 [17] ggtangle_0.0.7              DBI_1.2.3                  
 [19] RColorBrewer_1.1-3          abind_1.4-8                
 [21] zlibbioc_1.52.0             GenomicRanges_1.58.0       
 [23] R.utils_2.13.0              ggraph_2.2.2               
 [25] yulab.utils_0.2.1           tweenr_2.0.3               
 [27] rappdirs_0.3.3              git2r_0.36.2               
 [29] GenomeInfoDbData_1.2.13     tidytree_0.4.6             
 [31] reactome.db_1.89.0          svglite_2.2.1              
 [33] codetools_0.2-20            DelayedArray_0.32.0        
 [35] DOSE_4.0.1                  xml2_1.4.0                 
 [37] ggforce_0.5.0               tidyselect_1.2.1           
 [39] aplot_0.2.9                 UCSC.utils_1.2.0           
 [41] farver_2.1.2                viridis_0.6.5              
 [43] matrixStats_1.5.0           jsonlite_2.0.0             
 [45] tidygraph_1.3.1             systemfonts_1.2.3          
 [47] tools_4.4.1                 ragg_1.5.0                 
 [49] treeio_1.30.0               Rcpp_1.1.0                 
 [51] glue_1.8.0                  gridExtra_2.3              
 [53] Rttf2pt1_1.3.12             SparseArray_1.6.2          
 [55] here_1.0.2                  xfun_0.53                  
 [57] DESeq2_1.46.0               qvalue_2.38.0              
 [59] MatrixGenerics_1.18.1       GenomeInfoDb_1.42.3        
 [61] withr_3.0.2                 formatR_1.14               
 [63] fastmap_1.2.0               digest_0.6.37              
 [65] timechange_0.3.0            R6_2.6.1                   
 [67] gridGraphics_0.5-1          textshaping_1.0.3          
 [69] colorspace_2.1-1            GO.db_3.20.0               
 [71] RSQLite_2.4.3               R.methodsS3_1.8.2          
 [73] generics_0.1.4              data.table_1.17.8          
 [75] graphlayouts_1.2.2          httr_1.4.7                 
 [77] htmlwidgets_1.6.4           S4Arrays_1.6.0             
 [79] graphite_1.52.0             whisker_0.4.1              
 [81] pkgconfig_2.0.3             gtable_0.3.6               
 [83] blob_1.2.4                  workflowr_1.7.2            
 [85] S7_0.2.0                    XVector_0.46.0             
 [87] htmltools_0.5.8.1           fgsea_1.32.4               
 [89] ggupset_0.4.1               scales_1.4.0               
 [91] png_0.1-8                   ggfun_0.2.0                
 [93] lambda.r_1.2.4              rstudioapi_0.17.1          
 [95] tzdb_0.5.0                  nlme_3.1-168               
 [97] cachem_1.1.0                parallel_4.4.1             
 [99] pillar_1.11.1               vctrs_0.6.5                
[101] promises_1.3.3              extrafontdb_1.0            
[103] evaluate_1.0.5              cli_3.6.5                  
[105] locfit_1.5-9.12             compiler_4.4.1             
[107] futile.options_1.0.1        rlang_1.1.6                
[109] crayon_1.5.3                labeling_0.4.3             
[111] plyr_1.8.9                  fs_1.6.6                   
[113] writexl_1.5.4               stringi_1.8.7              
[115] viridisLite_0.4.2           BiocParallel_1.40.2        
[117] Biostrings_2.74.1           lazyeval_0.2.2             
[119] GOSemSim_2.32.0             Matrix_1.7-4               
[121] hms_1.1.3                   patchwork_1.3.2            
[123] bit64_4.6.0-1               KEGGREST_1.46.0            
[125] statmod_1.5.0               SummarizedExperiment_1.36.0
[127] igraph_2.1.4                memoise_2.0.1              
[129] bslib_0.9.0                 ggtree_3.14.0              
[131] fastmatch_1.1-6             bit_4.6.0                  
[133] ape_5.8-1                   gson_0.1.0