Last updated: 2025-11-27
Checks: 7 0
Knit directory: 5_gd_Tcell/1_analysis/
This reproducible R Markdown analysis was created with workflowr (version 1.7.2). The Checks tab describes the reproducibility checks that were applied when the results were created. The Past versions tab lists the development history.
Great! Since the R Markdown file has been committed to the Git repository, you know the exact version of the code that produced these results.
Great job! The global environment was empty. Objects defined in the global environment can affect the analysis in your R Markdown file in unknown ways. For reproduciblity it’s best to always run the code in an empty environment.
The command set.seed(12345) was run prior to running the
code in the R Markdown file. Setting a seed ensures that any results
that rely on randomness, e.g. subsampling or permutations, are
reproducible.
Great job! Recording the operating system, R version, and package versions is critical for reproducibility.
Nice! There were no cached chunks for this analysis, so you can be confident that you successfully produced the results during this run.
Great job! Using relative paths to the files within your workflowr project makes it easier to run your code on other machines.
Great! You are using Git for version control. Tracking code development and connecting the code version to the results is critical for reproducibility.
The results in this page were generated with repository version b9f184a. See the Past versions tab to see a history of the changes made to the R Markdown and HTML files.
Note that you need to be careful to ensure that all relevant files for
the analysis have been committed to Git prior to generating the results
(you can use wflow_publish or
wflow_git_commit). workflowr only checks the R Markdown
file, but you know if there are other scripts or data files that it
depends on. Below is the status of the Git repository when the results
were generated:
Ignored files:
Ignored: .Rhistory
Ignored: .Rproj.user/
Untracked files:
Untracked: .DS_Store
Untracked: figure/scatter2-1.png
Untracked: figure/scatter3-1.png
Untracked: figure/scatter4-1.png
Untracked: figure/scatter5-1.png
Untracked: figure/scatter_3d4-1.png
Untracked: figure/scatter_interactive4-1.png
Untracked: figure/treemap2-1.png
Untracked: figure/treemap3-1.png
Untracked: figure/treemap4-1.png
Untracked: figure/treemap5-1.png
Unstaged changes:
Modified: 0_data/RDS_plots/go_combined_dotPlot.rds
Modified: 0_data/RDS_plots/go_combined_parTerm_dotPlot.rds
Modified: 0_data/RDS_plots/go_dotPlot.rds
Modified: 0_data/RDS_plots/go_parTerm_dotPlot.rds
Modified: 0_data/RDS_plots/go_parTerm_scatter.rds
Modified: 0_data/RDS_plots/kegg_dotPlot.rds
Modified: 0_data/RDS_plots/kegg_path_Hmap.rds
Modified: 0_data/RDS_plots/ma_plots.rds
Modified: 0_data/RDS_plots/react_combined_dotPlot.rds
Modified: 0_data/RDS_plots/react_dotPlot.rds
Modified: 0_data/RDS_plots/vol_plots.rds
Modified: 2_plots/1_QC/PC1_PC2.svg
Modified: 2_plots/1_QC/PC1_PC3.svg
Modified: 2_plots/1_QC/PC2_PC3.svg
Modified: 2_plots/2_DE/heat_down_INT vs CONT.svg
Modified: 2_plots/2_DE/heat_down_INT vs SVX_VAS.svg
Modified: 2_plots/2_DE/heat_down_INT vs VAS.svg
Modified: 2_plots/2_DE/heat_down_SVX vs SVX_VAS.svg
Modified: 2_plots/2_DE/heat_down_SVX_VAS vs CONT.svg
Modified: 2_plots/2_DE/heat_down_VAS vs SVX_VAS.svg
Modified: 2_plots/2_DE/heat_up_INT vs CONT.svg
Modified: 2_plots/2_DE/heat_up_INT vs SVX_VAS.svg
Modified: 2_plots/2_DE/heat_up_INT vs VAS.svg
Modified: 2_plots/2_DE/heat_up_SVX vs SVX_VAS.svg
Modified: 2_plots/2_DE/heat_up_SVX_VAS vs CONT.svg
Modified: 2_plots/2_DE/heat_up_VAS vs SVX_VAS.svg
Modified: 2_plots/2_DE/hist_INT vs CONT.svg
Modified: 2_plots/2_DE/hist_INT vs SVX_VAS.svg
Modified: 2_plots/2_DE/hist_INT vs VAS.svg
Modified: 2_plots/2_DE/hist_SVX vs SVX_VAS.svg
Modified: 2_plots/2_DE/hist_SVX_VAS vs CONT.svg
Modified: 2_plots/2_DE/hist_VAS vs SVX_VAS.svg
Modified: 2_plots/3_FA/go/combine_go_dot.svg
Modified: 2_plots/3_FA/go/parTerm_dot_INT vs CONT.svg
Modified: 2_plots/3_FA/go/parTerm_dot_INT vs SVX_VAS.svg
Modified: 2_plots/3_FA/go/parTerm_dot_SVX vs SVX_VAS.svg
Modified: 2_plots/3_FA/go/parTerm_dot_SVX_VAS vs CONT.svg
Modified: 2_plots/3_FA/go/parTerm_dot_VAS vs SVX_VAS.svg
Modified: 2_plots/3_FA/go/semSim_dendrogram_INT vs CONT.svg
Modified: 2_plots/3_FA/go/semSim_dendrogram_INT vs SVX_VAS.svg
Modified: 2_plots/3_FA/go/semSim_dendrogram_SVX vs SVX_VAS.svg
Modified: 2_plots/3_FA/go/semSim_dendrogram_SVX_VAS vs CONT.svg
Modified: 2_plots/3_FA/go/semSim_dendrogram_VAS vs SVX_VAS.svg
Modified: 2_plots/3_FA/go/semSim_scatter_INT vs CONT.svg
Modified: 2_plots/3_FA/go/semSim_scatter_INT vs SVX_VAS.svg
Modified: 2_plots/3_FA/go/semSim_scatter_SVX vs SVX_VAS.svg
Modified: 2_plots/3_FA/go/semSim_scatter_SVX_VAS vs CONT.svg
Modified: 2_plots/3_FA/kegg/combine_kegg_dot.svg
Modified: 2_plots/3_FA/kegg/heat_Neutrophil extracellular trap formation.svg
Modified: 2_plots/3_FA/kegg/heat_PD-L1 expression and PD-1 checkpoint pathway in cancer.svg
Modified: 2_plots/3_FA/kegg/heat_T cell receptor signaling pathway.svg
Modified: 2_plots/3_FA/kegg/heat_Th1 and Th2 cell differentiation.svg
Modified: 2_plots/3_FA/kegg/heat_Th17 cell differentiation.svg
Modified: 2_plots/3_FA/kegg/kegg_dot_INT vs CONT.svg
Modified: 2_plots/3_FA/kegg/kegg_dot_INT vs SVX_VAS.svg
Modified: 2_plots/3_FA/kegg/kegg_dot_SVX_VAS vs CONT.svg
Modified: 2_plots/3_FA/kegg/kegg_dot_VAS vs SVX_VAS.svg
Modified: 2_plots/3_FA/kegg/kegg_upset_INT vs CONT.svg
Modified: 2_plots/3_FA/kegg/kegg_upset_INT vs SVX_VAS.svg
Modified: 2_plots/3_FA/kegg/kegg_upset_SVX_VAS vs CONT.svg
Modified: 2_plots/3_FA/kegg/kegg_upset_VAS vs SVX_VAS.svg
Modified: 2_plots/3_FA/reactome/combine_react_dot.svg
Modified: 2_plots/3_FA/reactome/react_dot_INT vs CONT.svg
Modified: 2_plots/3_FA/reactome/react_dot_INT vs SVX_VAS.svg
Modified: 2_plots/3_FA/reactome/react_dot_INT vs VAS.svg
Modified: 2_plots/3_FA/reactome/react_dot_SVX vs SVX_VAS.svg
Modified: 2_plots/3_FA/reactome/react_dot_SVX_VAS vs CONT.svg
Modified: 2_plots/3_FA/reactome/react_dot_VAS vs SVX_VAS.svg
Modified: 2_plots/3_FA/reactome/react_upset_INT vs CONT.svg
Modified: 2_plots/3_FA/reactome/react_upset_INT vs SVX_VAS.svg
Modified: 2_plots/3_FA/reactome/react_upset_INT vs VAS.svg
Modified: 2_plots/3_FA/reactome/react_upset_SVX vs SVX_VAS.svg
Modified: 2_plots/3_FA/reactome/react_upset_SVX_VAS vs CONT.svg
Modified: 2_plots/3_FA/reactome/react_upset_VAS vs SVX_VAS.svg
Modified: 2_plots/4_paper/subset_degs.svg
Modified: 2_plots/combine_ipa_dot.svg
Modified: 2_plots/dnf_plot.svg
Modified: 2_plots/intVsvxVAS.svg
Modified: 2_plots/upstream_hmap.svg
Modified: 3_output/DEGs.xlsx
Modified: 3_output/Gene Ontology.xlsx
Modified: 3_output/KEGG.xlsx
Modified: 3_output/Reactome.xlsx
Modified: 3_output/deg_all_new.xlsx
Modified: 3_output/deg_sig_new.xlsx
Modified: 3_output/eigenvalues.xlsx
Modified: 3_output/enrichKEGG_sig.xlsx
Modified: 3_output/reactome_all_new.xlsx
Modified: 3_output/reactome_sig_new.xlsx
Modified: 3_output/semSim_GO_sig.xlsx
Modified: README.html
Modified: README.md
Modified: figure/dot2-1.png
Modified: figure/dot3-1.png
Modified: figure/dot4-1.png
Modified: figure/dot5-1.png
Modified: figure/upset2-1.png
Modified: figure/upset3-1.png
Modified: figure/upset4-1.png
Modified: figure/upset5-1.png
Note that any generated files, e.g. HTML, png, CSS, etc., are not included in this status report because it is ok for generated content to have uncommitted changes.
These are the previous versions of the repository in which changes were
made to the R Markdown (1_analysis/kegg.Rmd) and HTML
(docs/kegg.html) files. If you’ve configured a remote Git
repository (see ?wflow_git_remote), click on the hyperlinks
in the table below to view the files as they were in that past version.
| File | Version | Author | Date | Message |
|---|---|---|---|---|
| Rmd | b9f184a | Ha Tran | 2025-11-27 | wflow_publish(here::here("1_analysis/*.Rmd")) |
| html | d519e7f | Ha Tran | 2024-12-03 | Build site. |
| Rmd | 9fc0156 | Ha Tran | 2024-12-03 | workflowr::wflow_publish(here::here("1_analysis/*.Rmd")) |
| html | 5dce909 | Ha Tran | 2024-11-07 | Build site. |
| html | d71eeb4 | Ha Tran | 2024-10-16 | Build site. |
| html | ae93fcc | tranmanhha135 | 2024-02-02 | Build site. |
| Rmd | fbcdd69 | tranmanhha135 | 2024-02-02 | workflowr::wflow_publish(here::here("1_analysis/*.Rmd")) |
| html | 2c24612 | tranmanhha135 | 2022-10-13 | build website |
| Rmd | 324032b | tranmanhha135 | 2022-10-11 | resize images |
| Rmd | 43675d3 | tranmanhha135 | 2022-10-06 | Add IPA data |
| html | 43675d3 | tranmanhha135 | 2022-10-06 | Add IPA data |
| html | 11a5cf4 | tranmanhha135 | 2022-10-03 | build wedsite |
| Rmd | 1101367 | tranmanhha135 | 2022-10-02 | Completed functional enrichment for all comparison |
| html | 1101367 | tranmanhha135 | 2022-10-02 | Completed functional enrichment for all comparison |
| html | 68585df | tranmanhha135 | 2022-09-20 | build webste |
| Rmd | 192d010 | tranmanhha135 | 2022-09-20 | functional enrichment with new dataset |
| html | 192d010 | tranmanhha135 | 2022-09-20 | functional enrichment with new dataset |
| Rmd | 0df047f | tranmanhha135 | 2022-09-08 | minor changes to build and publish |
| html | 0df047f | tranmanhha135 | 2022-09-08 | minor changes to build and publish |
| html | 54e0166 | Ha Manh Tran | 2022-01-01 | Build site. |
| html | 32454d5 | Ha Manh Tran | 2022-01-01 | Build site. |
| Rmd | c667dd0 | Ha Manh Tran | 2022-01-01 | workflowr::wflow_publish(files = here::here(c("1_analysis/index.Rmd", |
| Rmd | 3b268fc | Ha Tran | 2021-12-09 | multiple FC, reactome, big clean up. |
| html | 3b268fc | Ha Tran | 2021-12-09 | multiple FC, reactome, big clean up. |
| Rmd | 7247e9c | Ha Tran | 2021-11-30 | additional KEGG heatmap, pathview, reactome |
| html | 7247e9c | Ha Tran | 2021-11-30 | additional KEGG heatmap, pathview, reactome |
| html | b409b38 | Ha Manh Tran | 2021-11-30 | Build site. |
| Rmd | d19f8aa | Ha Manh Tran | 2021-11-30 | workflowr::wflow_publish(files = c("1_analysis/index.Rmd", "1_analysis/figure/setUp.Rmd/", |
# working with data
library(dplyr)
library(magrittr)
library(readr)
library(tibble)
library(reshape2)
library(tidyverse)
library(KEGGREST)
library(data.table)
library(KEGGREST)
# Visualisation:
library(VennDiagram)
library(kableExtra)
library(ggplot2)
library(grid)
library(pander)
library(viridis)
library(cowplot)
library(pheatmap)
library(DT)
library(extrafont)
# Custom ggplot
library(ggplotify)
library(ggpubr)
library(ggbiplot)
library(ggrepel)
# Bioconductor packages:
library(edgeR)
library(limma)
library(Glimma)
library(clusterProfiler)
library(org.Mm.eg.db)
library(enrichplot)
library(pathview)
library(pandoc)
library(knitr)
opts_knit$set(progress = FALSE, verbose = FALSE)
opts_chunk$set(warning=FALSE, message=FALSE, echo=FALSE)
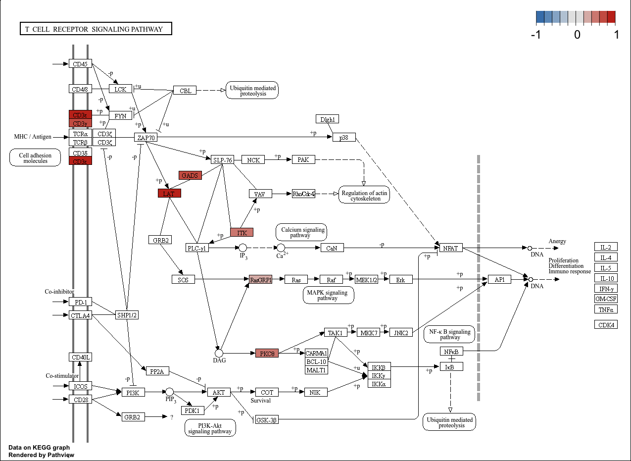
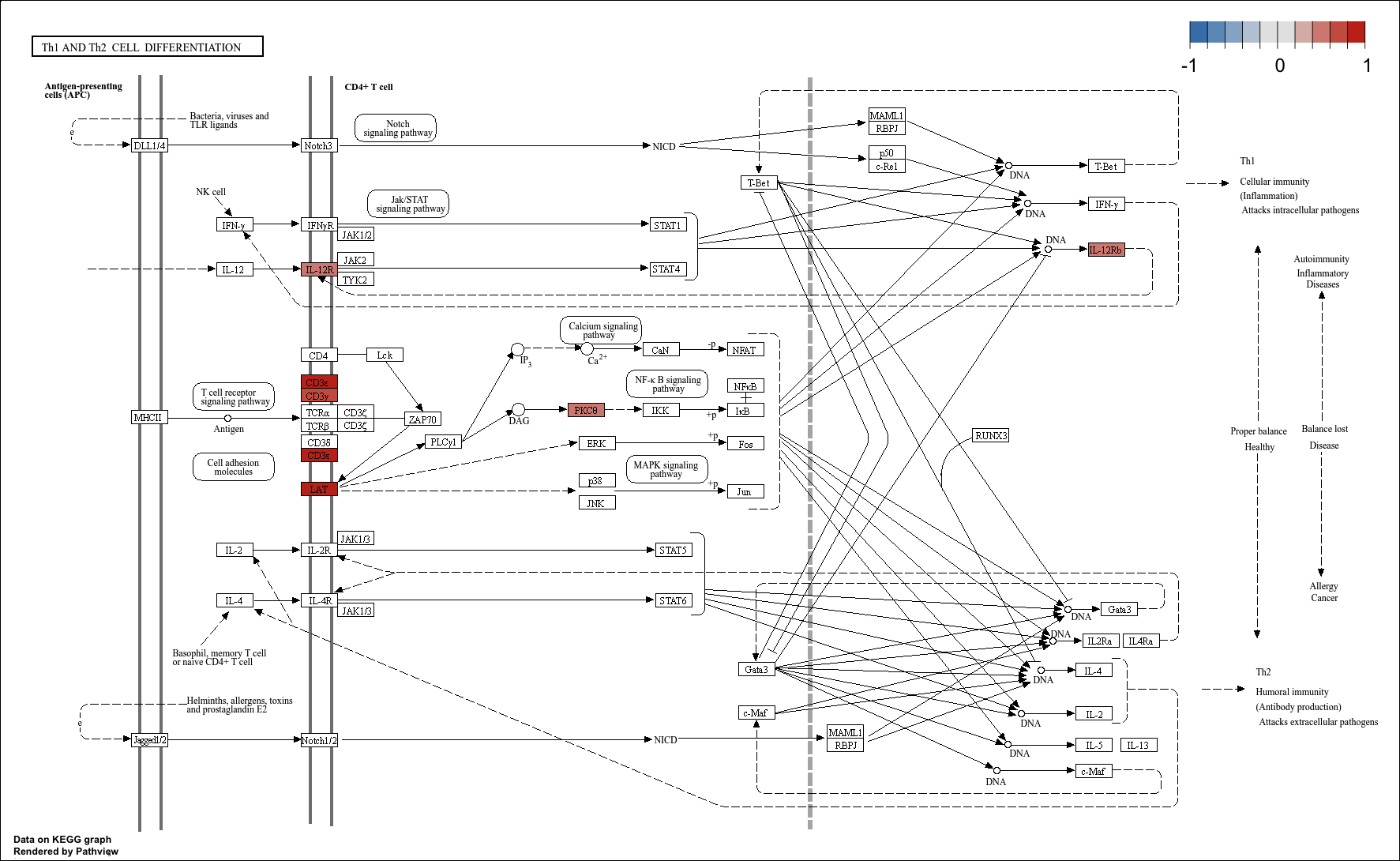
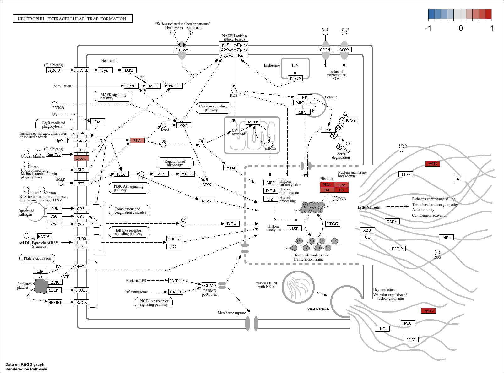
KEGG pathway images reproduced by permission from Kanehisa Laboratories, September 2024
KEGG analysis, or Kyoto Encyclopedia of Genes and Genomes analysis, is a method that involves the mapping of molecular datasets, such as DE genes or proteins, to the reference pathways in the KEGG database. The KEGG database provides a comprehensive resource for understanding the molecular interaction and reaction networks within biological systems. KEGG pathways encompass a wide range of biological processes, including metabolism, cellular processes, environmental information processing, and human diseases.
The KEGG database is organized into several classes:
Pathway Maps (PATH): This class includes diagrams of molecular interactions and reactions in various biological pathways. Each pathway map is associated with specific biological processes or functions.
BRITE (B): BRITE is a hierarchical classification of biological entities, such as genes, proteins, and compounds. It provides a functional hierarchy and relationships between different biological components.
Module (M): Modules are sets of manually defined functional units, which can represent functional modules of genes or proteins in specific pathways.
Orthology (KO): The Orthology class provides information about orthologous gene groups, which are genes in different species that evolved from a common ancestral gene. This class is particularly useful for comparative genomics.
For this analysis, only KEGG pathway database will be used. This database is further sub-categorised into several classes:
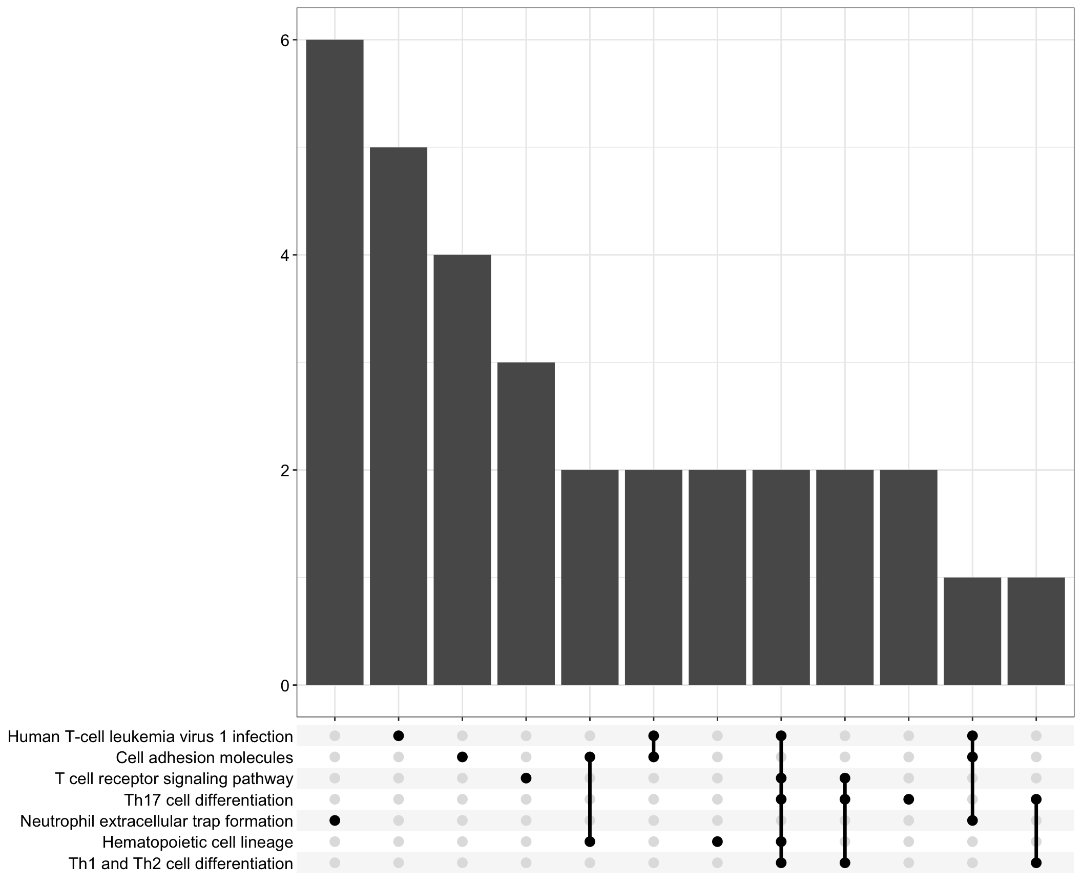
The following visualisations are KEGG enrichment analysis performed with set of DE genes. IMPORTANTLY, these KEGG terms are significantly enriched with FDR < 0.2.
Dot plot: illustrates the top 7 enriched KEGG pathways
Table: list of all the significant KEGG pathways
Upset: illustrate the overlap of gene between different pathways
I recommend reading through the full list of significant KEGG pathways and selecting the most biologically relevant for better visualisation

| Version | Author | Date |
|---|---|---|
| d519e7f | Ha Tran | 2024-12-03 |
| 5dce909 | Ha Tran | 2024-11-07 |
| d71eeb4 | Ha Tran | 2024-10-16 |
| ae93fcc | tranmanhha135 | 2024-02-02 |
| 2c24612 | tranmanhha135 | 2022-10-13 |
| 1101367 | tranmanhha135 | 2022-10-02 |
| 192d010 | tranmanhha135 | 2022-09-20 |
| 32454d5 | Ha Manh Tran | 2022-01-01 |
| 3b268fc | Ha Tran | 2021-12-09 |
| b409b38 | Ha Manh Tran | 2021-11-30 |

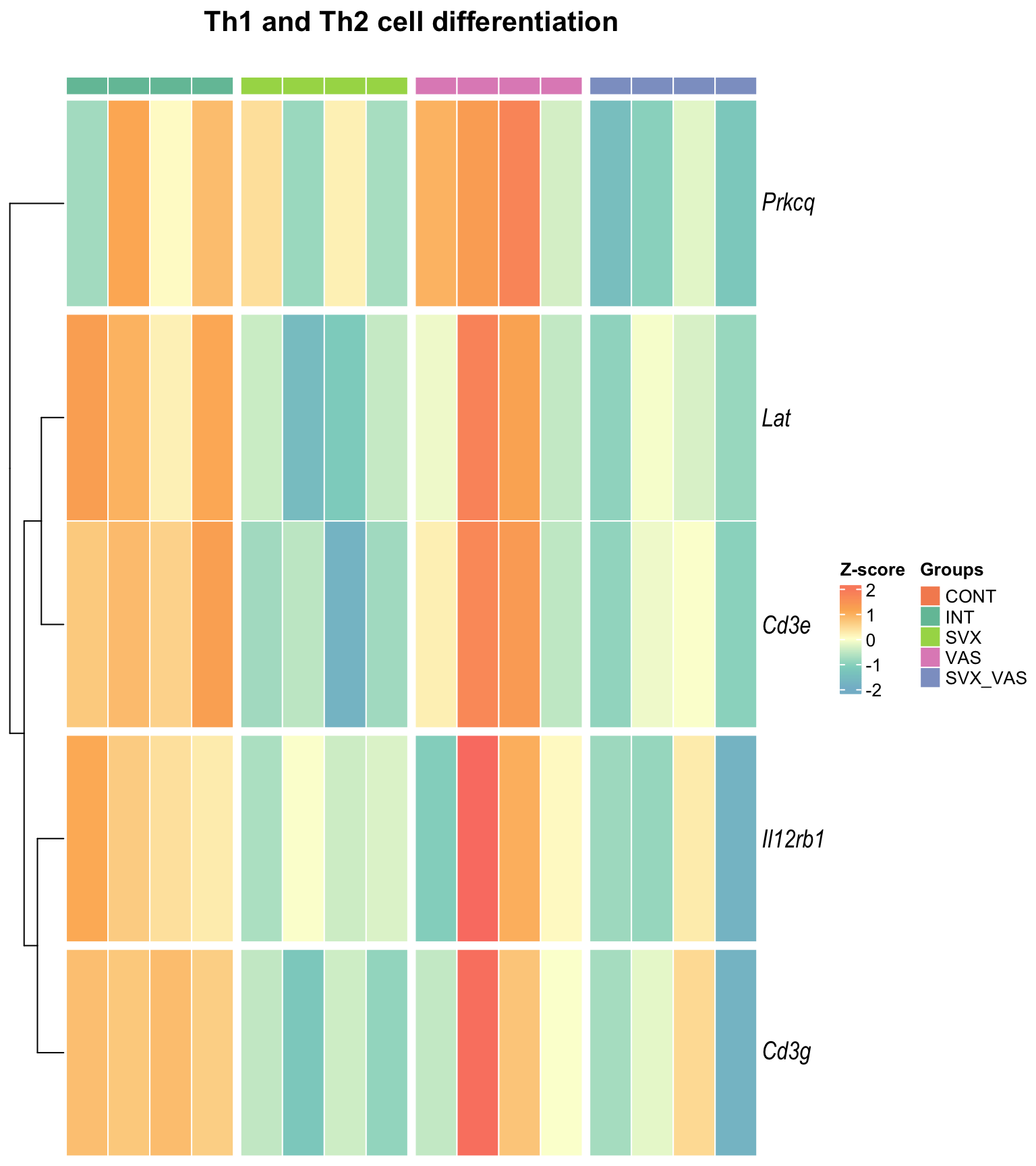
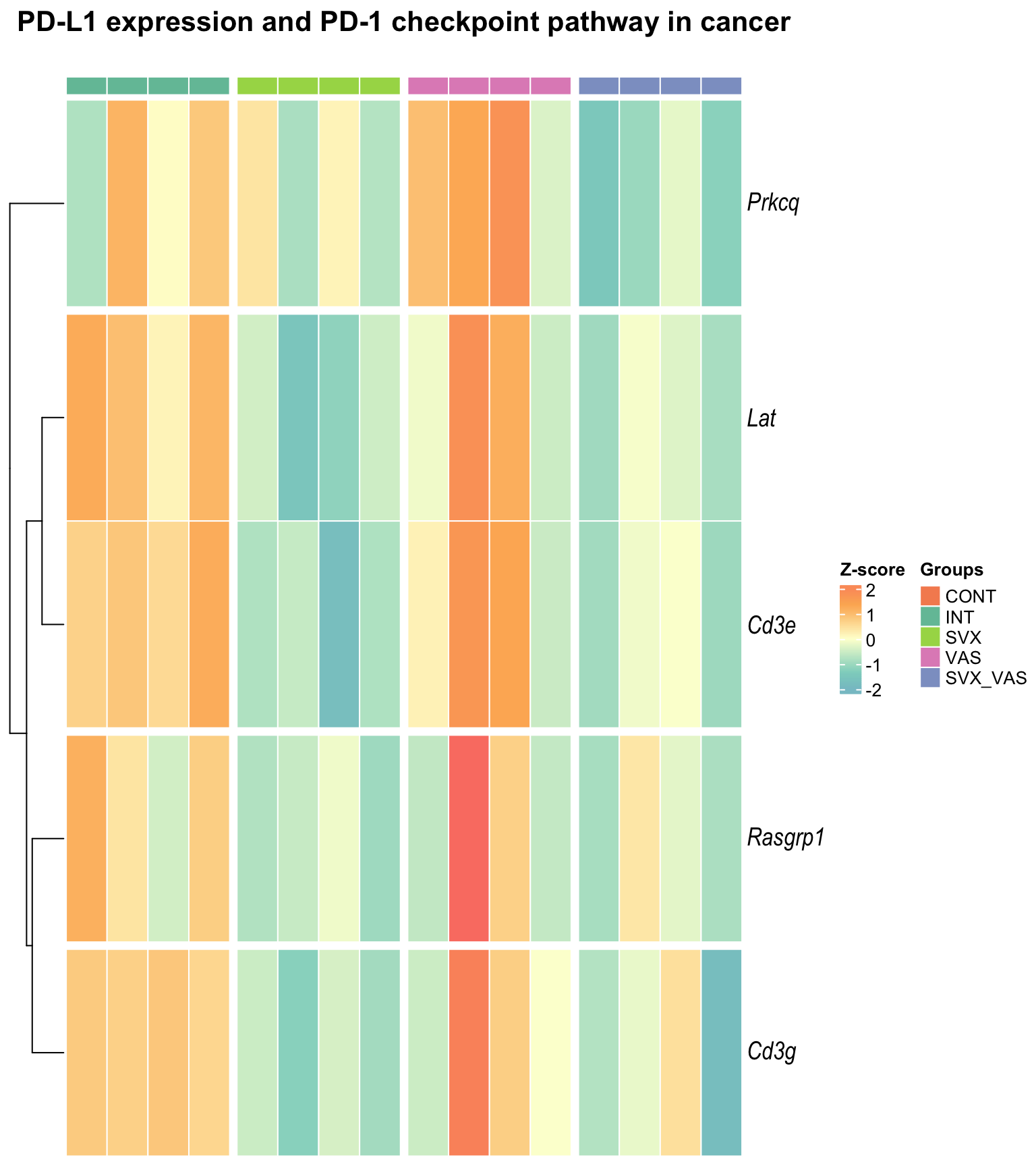
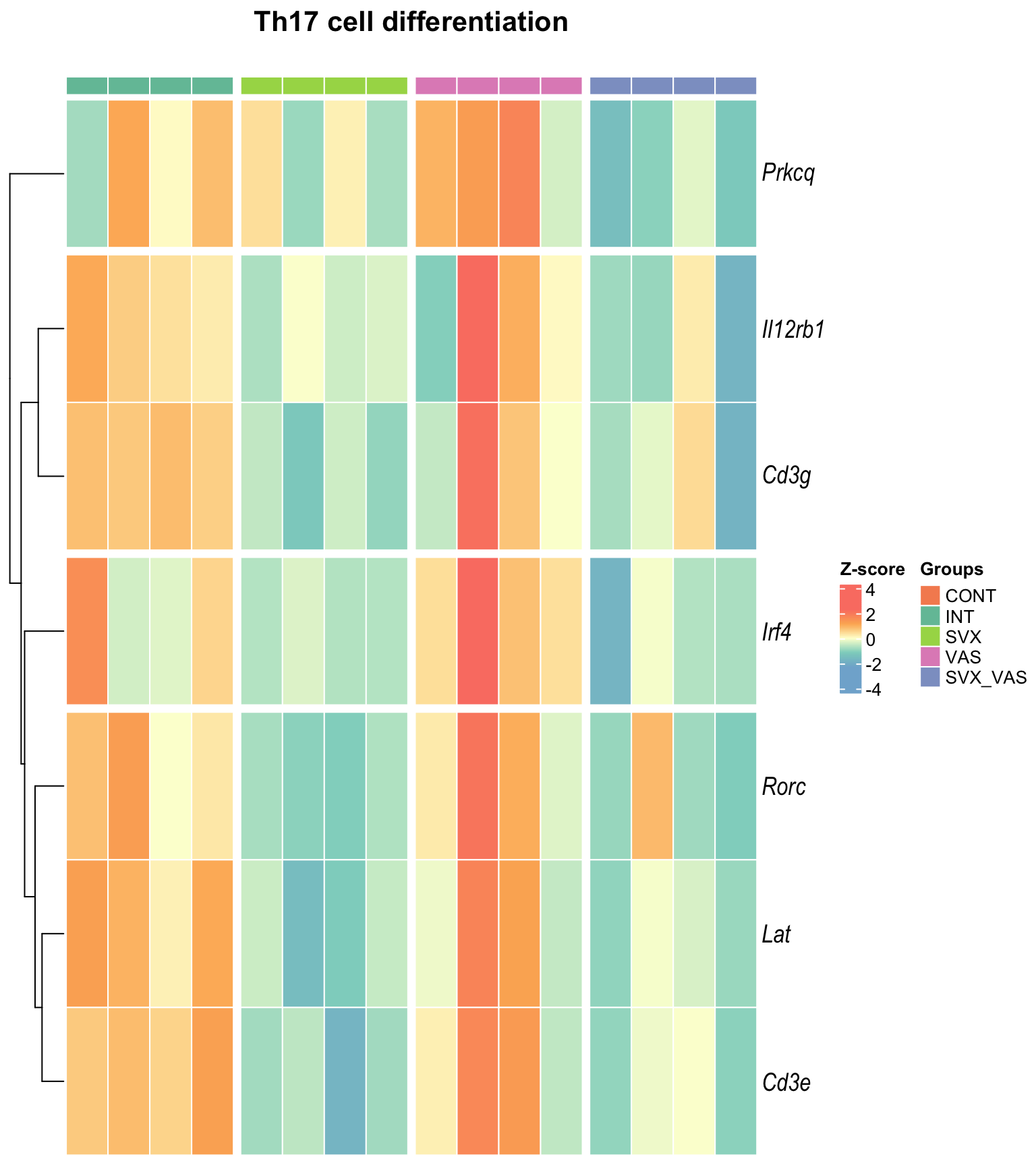
Here the top 5 most interesting KEGG pathways were selected for further visualisations.
These visualisations are similarly performed with set of DE genes.
Heatmap: illustrates the expression of genes in specific KEGG pathways.
Table: list of all the significant DE genes in the specified KEGG pathway
Pathview: maps gene expression data onto the specified KEGG pathways, allowing users to see where genes in their dataset are located within specific pathways, and potential upstream and downstream elements.




R version 4.4.1 (2024-06-14)
Platform: aarch64-apple-darwin20
Running under: macOS 26.1
Matrix products: default
BLAS: /Library/Frameworks/R.framework/Versions/4.4-arm64/Resources/lib/libRblas.0.dylib
LAPACK: /Library/Frameworks/R.framework/Versions/4.4-arm64/Resources/lib/libRlapack.dylib; LAPACK version 3.12.0
locale:
[1] en_US.UTF-8/en_US.UTF-8/en_US.UTF-8/C/en_US.UTF-8/en_US.UTF-8
time zone: Australia/Adelaide
tzcode source: internal
attached base packages:
[1] stats4 grid stats graphics grDevices utils datasets
[8] methods base
other attached packages:
[1] knitr_1.50 pandoc_0.2.0 pathview_1.46.0
[4] enrichplot_1.26.6 org.Mm.eg.db_3.20.0 AnnotationDbi_1.68.0
[7] IRanges_2.40.1 S4Vectors_0.44.0 Biobase_2.66.0
[10] BiocGenerics_0.52.0 clusterProfiler_4.14.6 Glimma_2.16.0
[13] edgeR_4.4.2 limma_3.62.2 ggrepel_0.9.6
[16] ggbiplot_0.6.2 ggpubr_0.6.1 ggplotify_0.1.3
[19] extrafont_0.19 DT_0.34.0 pheatmap_1.0.13
[22] cowplot_1.2.0 viridis_0.6.5 viridisLite_0.4.2
[25] pander_0.6.6 kableExtra_1.4.0 VennDiagram_1.7.3
[28] futile.logger_1.4.3 data.table_1.17.8 KEGGREST_1.46.0
[31] lubridate_1.9.4 forcats_1.0.0 stringr_1.5.2
[34] purrr_1.1.0 tidyr_1.3.1 ggplot2_4.0.0
[37] tidyverse_2.0.0 reshape2_1.4.4 tibble_3.3.0
[40] readr_2.1.5 magrittr_2.0.4 dplyr_1.1.4
loaded via a namespace (and not attached):
[1] splines_4.4.1 later_1.4.4
[3] bitops_1.0-9 R.oo_1.27.1
[5] graph_1.84.1 XML_3.99-0.19
[7] lifecycle_1.0.4 rstatix_0.7.2
[9] doParallel_1.0.17 rprojroot_2.1.1
[11] lattice_0.22-7 crosstalk_1.2.2
[13] backports_1.5.0 sass_0.4.10
[15] rmarkdown_2.29 jquerylib_0.1.4
[17] yaml_2.3.10 httpuv_1.6.16
[19] ggtangle_0.0.7 DBI_1.2.3
[21] RColorBrewer_1.1-3 abind_1.4-8
[23] zlibbioc_1.52.0 GenomicRanges_1.58.0
[25] R.utils_2.13.0 RCurl_1.98-1.17
[27] yulab.utils_0.2.1 rappdirs_0.3.3
[29] git2r_0.36.2 circlize_0.4.16
[31] GenomeInfoDbData_1.2.13 tidytree_0.4.6
[33] svglite_2.2.1 codetools_0.2-20
[35] DelayedArray_0.32.0 DOSE_4.0.1
[37] xml2_1.4.0 shape_1.4.6.1
[39] tidyselect_1.2.1 aplot_0.2.9
[41] UCSC.utils_1.2.0 farver_2.1.2
[43] matrixStats_1.5.0 jsonlite_2.0.0
[45] GetoptLong_1.0.5 Formula_1.2-5
[47] iterators_1.0.14 systemfonts_1.2.3
[49] foreach_1.5.2 tools_4.4.1
[51] ragg_1.5.0 treeio_1.30.0
[53] Rcpp_1.1.0 glue_1.8.0
[55] gridExtra_2.3 Rttf2pt1_1.3.12
[57] SparseArray_1.6.2 here_1.0.2
[59] xfun_0.53 DESeq2_1.46.0
[61] qvalue_2.38.0 MatrixGenerics_1.18.1
[63] GenomeInfoDb_1.42.3 withr_3.0.2
[65] formatR_1.14 fastmap_1.2.0
[67] digest_0.6.37 timechange_0.3.0
[69] R6_2.6.1 gridGraphics_0.5-1
[71] textshaping_1.0.3 colorspace_2.1-1
[73] Cairo_1.6-5 GO.db_3.20.0
[75] RSQLite_2.4.3 R.methodsS3_1.8.2
[77] generics_0.1.4 httr_1.4.7
[79] htmlwidgets_1.6.4 S4Arrays_1.6.0
[81] whisker_0.4.1 pkgconfig_2.0.3
[83] gtable_0.3.6 blob_1.2.4
[85] ComplexHeatmap_2.22.0 workflowr_1.7.2
[87] S7_0.2.0 XVector_0.46.0
[89] htmltools_0.5.8.1 carData_3.0-5
[91] fgsea_1.32.4 clue_0.3-66
[93] ggupset_0.4.1 scales_1.4.0
[95] png_0.1-8 ggfun_0.2.0
[97] lambda.r_1.2.4 rstudioapi_0.17.1
[99] rjson_0.2.23 tzdb_0.5.0
[101] curl_7.0.0 nlme_3.1-168
[103] org.Hs.eg.db_3.20.0 GlobalOptions_0.1.2
[105] cachem_1.1.0 parallel_4.4.1
[107] pillar_1.11.1 vctrs_0.6.5
[109] promises_1.3.3 car_3.1-3
[111] cluster_2.1.8.1 extrafontdb_1.0
[113] Rgraphviz_2.50.0 KEGGgraph_1.66.0
[115] evaluate_1.0.5 magick_2.9.0
[117] cli_3.6.5 locfit_1.5-9.12
[119] compiler_4.4.1 futile.options_1.0.1
[121] rlang_1.1.6 crayon_1.5.3
[123] ggsignif_0.6.4 labeling_0.4.3
[125] plyr_1.8.9 fs_1.6.6
[127] writexl_1.5.4 stringi_1.8.7
[129] BiocParallel_1.40.2 Biostrings_2.74.1
[131] lazyeval_0.2.2 GOSemSim_2.32.0
[133] Matrix_1.7-4 hms_1.1.3
[135] patchwork_1.3.2 bit64_4.6.0-1
[137] statmod_1.5.0 SummarizedExperiment_1.36.0
[139] igraph_2.1.4 broom_1.0.10
[141] memoise_2.0.1 bslib_0.9.0
[143] ggtree_3.14.0 fastmatch_1.1-6
[145] bit_4.6.0 ape_5.8-1
[147] gson_0.1.0